Aldolase (DERA)

Cat.No. : DERA-15
  • Specification
  • Gene Information
  • Related Products
  • Download
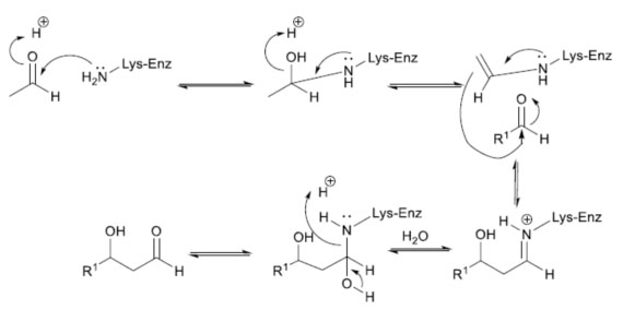
Description : DERAs: Can effectively catalyze the stereoselective addition of donor ketones to receptor aldehydes. Moreover, the reaction can be carried out in aqueous solution of neutral pH without special protective measures. They belong to class I aldolase, which forms Shiff base in the catalytic process. The substrate is covalently bonded with the amino group of the active site to initiate the breakage and formation of the bond. The difference between DERAs and other aldolases is that the substrates they catalyze are aldehydes and can undergo continuous aldehydes condensation. DERA is a useful tool to catalyze enantioselective carbon-carbon bond formation, generating up to two chiral centers under mild reaction conditions.
Applications : 1. Normally, the reaction system should include substrate, buffer solution (optimum reaction pH) and the DERA. 2. All kinds of DERAs corresponding to various optimum reaction conditions should be studied individually. 3. The DERA should be added last into reaction system to maintain the activity. 4. High concentration Substrate or product with may inhibit DERA's activity. However, the inhibition can be relieved by batch addition of substrate.
Notes : Never contact with extreme conditions such as: high temperature, high/low pH and high concentration organic solvent.
Storage : Keep 2 years below -20 centigrade.
Advantages : 1. Broad substrate spectrum. 2. High conversion. 3. Less by-products. 4. Mild reaction conditions. 5. Environmentally friendly.
Official Symbol DERA
Synonyms Aldolase; DERA

Not For Human Consumption!

Inquiry

  • Reviews (0)
  • Q&As (0)

Customer Reviews

Write a review

Ask a Question for All DERA Products

Required fields are marked with *

My Review for All DERA Products

Required fields are marked with *

0
cart-icon
0
compare icon