Recombinant Human BTN2A1 protein, His-tagged
| Cat.No. : | BTN2A1-1679H |
| Product Overview : | Recombinant Human BTN2A1 protein(Q7KYR7-1)(Gln29-Ala248), fused with C-terminal His tag, was expressed in HEK293. |
- Specification
- Gene Information
- Related Products
- Download
| Species : | Human |
| Source : | C-His |
| Protein Length : | Gln29-Ala248 |
| Tag : | C-His |
| Form : | Supplied as 0.22μm filtered solution in PBS (pH 7.4). |
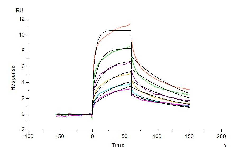
| Bio-activity : | Human BTN2A1, His Tag immobilized on CM5 Chip can bind Human CD209, His Tag with an affinity constant of 0.12 μM as determined in SPR assay (Biacore T200). |
| Molecular Mass : | The protein has a predicted MW of 25.65 kDa. Due to glycosylation, the protein migrates to 38-48 kDa based on Tris-Bis PAGE result. |
| Endotoxin : | Less than 1EU per μg by the LAL method. |
| Purity : | > 95% as determined by Tris-Bis PAGE; > 95% as determined by HPLC. |
| Storage : | Valid for 12 months from date of receipt when stored at -80°C.;Recommend to aliquot the protein into smaller quantities for optimal storage. Please do not repeated freeze-thaw cycles. |
| Reconstitution : | It is recommended that sterile water be added to the vial to prepare a stock solution of 0.2 ug/ul. Centrifuge the vial at 4°C before opening to recover the entire contents. |
| Gene Name | BTN2A1 butyrophilin, subfamily 2, member A1 [ Homo sapiens ] |
| Official Symbol | BTN2A1 |
| Synonyms | BTN2A1; butyrophilin, subfamily 2, member A1; butyrophilin subfamily 2 member A1; BT2.1; BTF1; butyrophilin BTF1; DJ3E1.1; BK14H9.1; FLJ36567; |
| Gene ID | 11120 |
| mRNA Refseq | NM_001197233 |
| Protein Refseq | NP_001184162 |
| MIM | 613590 |
| UniProt ID | Q7KYR7 |
| ◆ Recombinant Proteins | ||
| BTN2A1-3689H | Recombinant Human BTN2A1 protein, rFc-tagged | +Inquiry |
| BTN2A1-1679H | Recombinant Human BTN2A1 protein, His-tagged | +Inquiry |
| BTN2A1-1675HF | Recombinant Full Length Human BTN2A1 Protein, GST-tagged | +Inquiry |
| BTN2A1-2217H | Recombinant Human BTN2A1 protein, His-tagged | +Inquiry |
| BTN2A1-6218H | Recombinant Human BTN2A1 Protein, Myc/DDK-tagged, C13 and N15-labeled | +Inquiry |
| ◆ Cell & Tissue Lysates | ||
| BTN2A1-8389HCL | Recombinant Human BTN2A1 293 Cell Lysate | +Inquiry |
Not For Human Consumption!
Inquiry
- Reviews (0)
- Q&As (0)
Ask a Question for All BTN2A1 Products
Required fields are marked with *
My Review for All BTN2A1 Products
Required fields are marked with *
