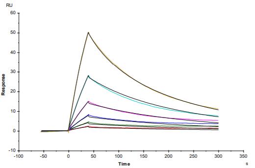
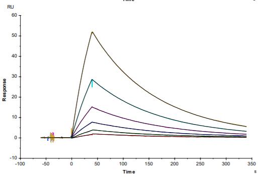
Recombinant SARS-CoV-2 S Protein
| Cat.No. : | S-142S |
| Product Overview : | Recombinant SARS-CoV-2 Spike Protein is produced by Insect. The target gene encoding 319-532 is expressed. |
- Specification
- Gene Information
- Related Products
- Download
| Species : | SARS-CoV-2 |
| Source : | Insect Cells |
| Description : | SARS-CoV-2 Spike Protein is glycoprotein and expressed in many cell types supporting its reported involvement in multiple biological processes that include coagulation, apoptosis, cancer development and progression, and the innate immune response. Known receptors bind S1 are ACE2, angiotensin-converting enzyme 2, DPP4, CEACAM, etc. The spike (S) glycoprotein of coronaviruses is known to be essential in the binding of the virus to the host cell at the advent of the infection process. Most notable is severe acute respiratory syndrome (SARS). The severe acute respiratory syndrome-coronavirus (SARS-CoV) spike (S) glycoprotein alone can mediate the membrane fusion required for virus entry and cell fusion. It is also a major immunogen and a target for entry inhibitors. It's been reported that 2019-nCoV can infect the human respiratory epithelial cells through interaction with the human ACE2 receptor. The spike protein is a large type I transmembrane protein containing two subunits, S1 and S2. S1 mainly contains a receptor binding domain (RBD), which is responsible for recognizing the cell surface receptor. S2 contains basic elements needed for the membrane fusion. The S protein plays key parts in the induction of neutralizing-antibody and T-cell responses, as well as protective immunity. |
| Form : | Lyophilized from a 0.2 um filtered solution of PBS, pH7.4. |
| Molecular Mass : | Predicted Molecular Weight: 24kDa Apparent Molecular Weight: 30kDa, under reducing conditions. |
| AA Sequence : | 319-532 aa |
| Endotoxin : | Less than 0.1 ng/ug (1 EU/ug). |
| Purity : | >95% |
| Storage : | Store at < -20 centigrade, stable for 6 months after receipt. Please minimize freeze-thaw cycles. |
| Quality Statement : | Purity: greater than 95% as determined by reducing SDS-PAGE. |
| Shipping : | The product is shipped at ambient temperature. Upon receipt, store it immediately at the temperature listed below. |
| Gene Name | S surface glycoprotein [ Severe acute respiratory syndrome coronavirus 2 ] |
| Official Symbol | S |
| Synonyms | Spike glycoprotein; S protein; S1 subunit; Host Cell Receptor Binding Domain (RBD); E2; Peplomer protein |
| Gene ID | 43740568 |
| Protein Refseq | YP_009724390.1 |
| UniProt ID | P0DTC2 |
Not For Human Consumption!
Inquiry
- Reviews (0)
- Q&As (0)
Ask a Question for All S Products
Required fields are marked with *
My Review for All S Products
Required fields are marked with *
