Recombinant Human ALB protein, His-Avi-tagged
| Cat.No. : | ALB-0563H |
| Product Overview : | Recombinant Human ALB protein(P02768-1)(Asp25-Leu609), fused with C-terminal His and Avi tag, was expressed in HEK293. |
- Specification
- Gene Information
- Related Products
- Download
| Species : | Human |
| Source : | HEK293 |
| Tag : | Avi&His |
| Protein Length : | Asp25-Leu609 |
| Tag : | C-His-Avi |
| Form : | Lyophilized from 0.22μm filtered solution in PBS (pH 7.4). Normally 5% trehalose is added as protectant before lyophilization. |
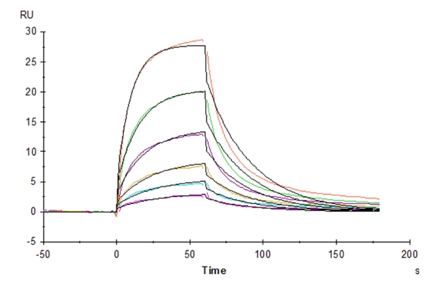
| Bio-activity : | Human Serum Albumin, His Tag immobilized on CM5 Chip can bind Human FcRn, His Tag with an affinity constant of 0.728 μM as determined in SPR assay (Biacore T200). |
| Molecular Mass : | The protein has a predicted MW of 69.4 kDa. Due to glycosylation, the protein migrates to 69-70 kDa based on Tris-Bis PAGE result. |
| Endotoxin : | Less than 1EU per μg by the LAL method. |
| Purity : | > 95% as determined by Tris-Bis PAGE; > 95% as determined by HPLC |
| Storage : | Reconstituted protein stable at -80°C for 12 months, 4°C for 1 week. Use a manual defrost freezer and avoid repeated freeze-thaw cycles. |
| Reconstitution : | Centrifuge tubes before opening. Reconstituting to a concentration more than 100 μg/ml is recommended. Dissolve the lyophilized protein in distilled water. |
| Gene Name | ALB albumin [ Homo sapiens ] |
| Official Symbol | ALB |
| Synonyms | ALB; albumin; serum albumin; albumin (32 AA); albumin (AA 34); growth-inhibiting protein 20; cell growth inhibiting protein 42; PRO0883; PRO0903; PRO1341; DKFZp779N1935; |
| Gene ID | 213 |
| mRNA Refseq | NM_000477 |
| Protein Refseq | NP_000468 |
| UniProt ID | P02768 |
| ◆ Recombinant Proteins | ||
| ALB-447M | Recombinant Mouse ALB Protein, His (Fc)-Avi-tagged | +Inquiry |
| Alb-568M | Recombinant Mouse Alb Protein, MYC/DDK-tagged | +Inquiry |
| ALB-02H | Recombinant Human Albumin Protein, Low Endotoxin, Media Grade | +Inquiry |
| ALB-432H | Recombinant Human ALB Protein, GST-tagged | +Inquiry |
| ALB-22H | Recombinant Human ALB Protein, Animal Free | +Inquiry |
| ◆ Native Proteins | ||
| ALB-03C | Native Cynomolgus Monkey ALB protein | +Inquiry |
| ALB-7995H | Native Human Serum Albumin(Protease Free) | +Inquiry |
| ALB-7993H | Native Human Serum Albumin(20% Solution) | +Inquiry |
| ALB-21H | Native Human ALB protein | +Inquiry |
| ALB-54C | Native Cyno monkey Albumin | +Inquiry |
| ◆ Cell & Tissue Lysates | ||
| ALB-8923HCL | Recombinant Human ALB 293 Cell Lysate | +Inquiry |
Not For Human Consumption!
Inquiry
- Reviews (0)
- Q&As (0)
Ask a Question for All ALB Products
Required fields are marked with *
My Review for All ALB Products
Required fields are marked with *
