Recombinant Human IL2RB protein, Fc-tagged
| Cat.No. : | IL2RB-782H |
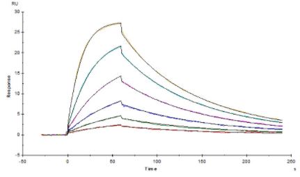
| Product Overview : | Recombinant Human IL2RB (Ala27-Asp239) protein was fused to human IgG1 Fc tag at C-terminus and expressed in human 293 cells (HEK293). |
- Specification
- Gene Information
- Related Products
- Download
| Species : | Human |
| Source : | HEK293 |
| Tag : | Fc |
| Protein Length : | Ala27-Asp239 |
| Description : | Interleukin-2 receptor subunit beta (IL2RB) is also known as CD122, which Belongs to the type I cytokine receptor family. Type 4 subfamily. IL2RB contains 1 fibronectin type-III domain. IL2RB/CD122 is involved in T cell-mediated immune responses, is present in 3 forms with respect to ability to bind interleukin 2. The low affinity form is a monomer of the alpha subunit and is not involved in signal transduction. The intermediate affinity form consists of an alpha/beta subunit heterodimer, while the high affinity form consists of an alpha/beta/gamma subunit heterotrimer. Both the intermediate and high affinity forms of the receptor are involved in receptor-mediated endocytosis and transduction of mitogenic signals from interleukin 2. |
| Predicted N Terminal : | Ala27 |
| Form : | Lyophilized from 0.22 μm filtered solution in 50 mM Tris, 100 mM Glycine, pH7.5, 10% trehalose. |
| Molecular Mass : | The protein has a calculated MW of 50.7 kDa. The protein migrates as 58-76 kDa under reducing (R) condition (SDS-PAGE) due to glycosylation. |
| Endotoxin : | Less than 1.0 EU per μg by the LAL method. |
| Purity : | >92% as determined by SDS-PAGE. |
| Storage : | For long term storage, the product should be stored at lyophilized state at -20 centigrade or lower. Please avoid repeated freeze-thaw cycles. This product is stable after storage at: -20 to -70 centigrade for 12 months in lyophilized state; -70 centigrade for 3 months under sterile conditions after reconstitution. |
| Reconstitution : | It is recommended that sterile water be added to the vial to prepare a stock solution of 0.2 ug/ul. Centrifuge the vial at 4℃ before opening to recover the entire contents. |
| Gene Name | IL2RB |
| Official Symbol | IL2RB |
| Synonyms | IL2RB; interleukin 2 receptor, beta; IL15RB, interleukin 15 receptor, beta; interleukin-2 receptor subunit beta; CD122; p75; IL-2RB; CD122 antigen; IL-2R subunit beta; IL-2 receptor subunit beta; interleukin 15 receptor, beta; high affinity IL-2 receptor beta subunit; high affinity IL-2 receptor subunit beta; IL15RB; P70-75 |
| Gene ID | 3560 |
| mRNA Refseq | NM_000878 |
| Protein Refseq | NP_000869 |
| MIM | 146710 |
| UniProt ID | P14784 |
| ◆ Recombinant Proteins | ||
| IL2RB-783H | Active Recombinant Human IL2RB protein(Met1-Asp239) | +Inquiry |
| IL2RB-420H | Active Recombinant Human IL2RB Protein (Met1-Asp239), His-tagged | +Inquiry |
| IL2RB-701H | Active Recombinant Human IL2RB, HIgG1 Fc-tagged | +Inquiry |
| IL2RB-869HB | Recombinant Human IL2RB protein, His-Avi-tagged, Biotinylated | +Inquiry |
| IL2RB-176C | Recombinant Canine IL2RB, Fc-tagged | +Inquiry |
| ◆ Cell & Tissue Lysates | ||
| IL2RB-2906HCL | Recombinant Human IL2RB cell lysate | +Inquiry |
| IL2RB-744MCL | Recombinant Mouse IL2RB cell lysate | +Inquiry |
| IL2RB-741CCL | Recombinant Canine IL2RB cell lysate | +Inquiry |
Not For Human Consumption!
Inquiry
- Reviews (0)
- Q&As (0)
Ask a Question for All IL2RB Products
Required fields are marked with *
My Review for All IL2RB Products
Required fields are marked with *
