Recombinant Human Nucleosome, H4K12me1 dNuc, Biotinylated
| Cat.No. : | NUC-032 |
| Product Overview : | Mononucleosomes assembled from recombinant human histones expressed in E. coli. |
- Specification
- Gene Information
- Related Products
- Download
| Species : | Human |
| Source : | E.coli |
| Tag : | Non |
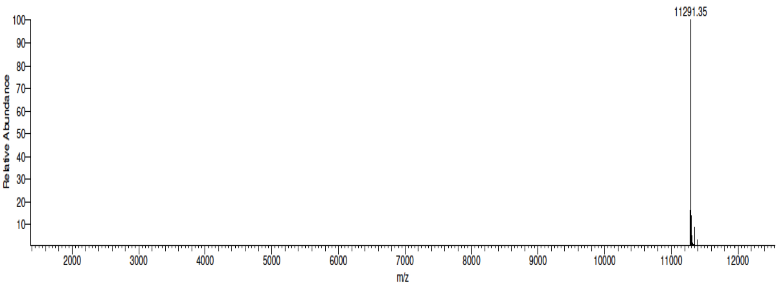
| Description : | Mononucleosomes assembled from recombinant human histones expressed in E. coli (two each of histones H2A, H2B, H3 and H4; accession numbers: H2A-P04908; H2BO60814; H3.1-P68431; H4-P62805) wrapped by 147 base pairs of 601 positioning sequence DNA. Histone H4 (created by a proprietary synthetic method) contains monomethylated lysine at position 12. The nucleosome is the basic subunit of chromatin. The 601 sequence, identified by Lowary and Widom, is a 147-base pair sequence that has high affinity for histone octamers and is useful for nucleosome assembly and contains a 5' biotin-TEG group. |
| Form : | Nucleosome, Recombinant Human, H4K12me1 (27.3 μg protein weight, 50 μg DNA+protein) in μl 10 mM Tris HCl, pH 7.5, 25 mM NaCl, 1 mM EDTA, 2 mM DTT, 20% glycerol. |
| Molecular Mass : | 199,970.16 Da |
| Applications : | Nucleosome, Recombinant Human, H4K12me1 dNucs are highly purified and are suitable for use as substrates in enzyme screening assays or for effector protein binding experiments. Nucleosome, Recombinant Human, H4K12me1 dNucs does not contain free DNA which could alter assayed activities. |
| Storage : | Stable for six months at -80°C from date of receipt. For best results, aliquot and avoid multiple freeze/thaws. |
| Conjugation : | Biotin |
| ◆ Recombinant Proteins | ||
| NUC-004 | Recombinant Human Mononucleosomes | +Inquiry |
| NUC-031 | Recombinant Human Nucleosome, H3K79me3 dNuc, Biotinylated | +Inquiry |
| NUC-023 | Recombinant Human Nucleosome H3K27me3 dNuc | +Inquiry |
| NUC-055 | Recombinant Mononucleosomes, 199x601 DNA, Biotinylated | +Inquiry |
| NUC-060 | Remodeling Assay Substrate DNA ST601-GATC0 | +Inquiry |
Not For Human Consumption!
Inquiry
- Reviews (0)
- Q&As (0)
Ask a Question for All NUC Products
Required fields are marked with *
My Review for All NUC Products
Required fields are marked with *
