Recombinant Human TPSB2 protein, His-tagged
| Cat.No. : | TPSB2-19H |
| Product Overview : | Recombinant Human TPSB2 protein(AAH29356.1)(19-275 aa), fused with C-terminal His tag, was expressed in Mammalian Cells. |
- Specification
- Gene Information
- Related Products
- Download
| Species : | Human |
| Source : | Mammalian Cells |
| Tag : | His |
| Protein Length : | 19-275 aa |
| Form : | Supplied as a 0.2 μm filtered solution of 20mM PB, 150mM NaCl, pH 7.4. |
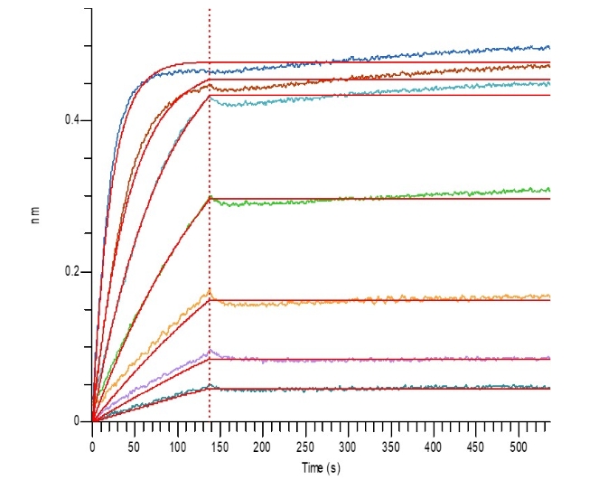
| Bio-activity : | Loaded Anti-Human Tryptase mAb-Fc on AHC Biosensor, can bind Human TPSB2-His with an affinity constant of < 10-3 nM as determined in BLI assay. |
| Molecular Mass : | 29.64 KDa |
| Endotoxin : | < 1 EU/µg as determined by LAL test. |
| Purity : | Greater than 95% as determined by reducing SDS-PAGE. |
| Storage : | Store at ≤-70°C, stable for 6 months after receipt. Store at ≤-70°C, stable for 3 months under sterile conditions after opening. Please minimize freeze-thaw cycles. |
| Reconstitution : | It is recommended that sterile water be added to the vial to prepare a stock solution of 0.2 ug/ul. Centrifuge the vial at 4°C before opening to recover the entire contents. |
| Gene Name | TPSB2 tryptase beta 2 (gene/pseudogene) [ Homo sapiens ] |
| Official Symbol | TPSB2 |
| Synonyms | TPSB2; tryptase beta 2 (gene/pseudogene); tryptase beta 2; tryptase beta-2; tryptase beta II; tryptase beta III; tryptase-2; tryptase II; tryptase III; mast cell tryptase beta II; mast cell tryptase beta III; TPS2; tryptaseB; tryptaseC; |
| Gene ID | 64499 |
| mRNA Refseq | NM_024164 |
| Protein Refseq | NP_077078 |
| MIM | 191081 |
| UniProt ID | P20231 |
| ◆ Recombinant Proteins | ||
| TPSB2-5907R | Recombinant Rat TPSB2 Protein, His (Fc)-Avi-tagged | +Inquiry |
| TPSB2-897H | Recombinant Human TPSB2 protein, Fc-tagged | +Inquiry |
| TPSB2-6279H | Recombinant Human TPSB2 Protein (Gln35-Pro275), N-His tagged | +Inquiry |
| TPSB2-19H | Recombinant Human TPSB2 protein, His-tagged | +Inquiry |
| TPSB2-18H | Active Recombinant Human TPSB2 Protein (Met1-Pro275), C-10×His-tagged | +Inquiry |
| ◆ Cell & Tissue Lysates | ||
| TPSB2-835HCL | Recombinant Human TPSB2 293 Cell Lysate | +Inquiry |
Not For Human Consumption!
Inquiry
- Reviews (0)
- Q&As (0)
Ask a Question for All TPSB2 Products
Required fields are marked with *
My Review for All TPSB2 Products
Required fields are marked with *
