Active Recombinant Human MS4A1 protein, Flag-tagged
| Cat.No. : | MS4A1-151H |
| Product Overview : | Recombinant Human B-lymphocyte antigen CD20 is produced by our Mammalian expression system and the target gene encoding Met1-Pro297 is expressed with a Flag tag at the C-terminus. |
- Specification
- Gene Information
- Related Products
- Download
| Species : | Human |
| Source : | HEK293 |
| Tag : | Flag |
| Protein Length : | Met1-Pro297 |
| Form : | Supplied as a 0.2 μm filtered solution of 50mM HEPES, 150mM NaCl, 0.06% DDM, 0.012% CHS, 10% Glycerol, pH 7.4. |
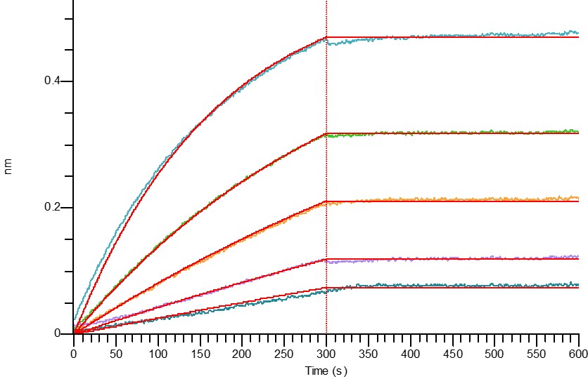
| Bio-activity : | Immobilized Anti-Human CD20 mAb at 2μg/ml (100 μl/well) can bind Human CD20-Flag. The ED50 of Human CD20-Flag is 0.303 μg/ml. |
| Molecular Mass : | 34.3 Kda |
| Endotoxin : | Less than 0.1 ng/µg (1 EU/µg) as determined by LAL test. |
| Purity : | Greater than 70% as determined by reducing SDS-PAGE. |
| Storage : | Store at ≤-70°C, stable for 6 months after receipt. Store at ≤-70°C, stable for 3 months under sterile conditions after opening. Please minimize freeze-thaw cycles. |
| Reconstitution : | It is recommended to reconstitute the lyophilized powder in sterile water to 100-200 ug/ml, and further dilute with other solvents. The dissolved protein can be stored at 4°C for 2-7 days and should be used up as soon as possible. If not in use for a short time, please store at -20°C. |
| Gene Name | MS4A1 membrane-spanning 4-domains, subfamily A, member 1 [ Homo sapiens ] |
| Official Symbol | MS4A1 |
| Synonyms | MS4A1; membrane-spanning 4-domains, subfamily A, member 1; CD20; B-lymphocyte antigen CD20; B1; Bp35; MS4A2; CD20 antigen; CD20 receptor; leukocyte surface antigen Leu-16; B-lymphocyte cell-surface antigen B1; S7; CVID5; LEU-16; MGC3969; |
| Gene ID | 931 |
| mRNA Refseq | NM_021950 |
| Protein Refseq | NP_068769 |
| MIM | 112210 |
| UniProt ID | P11836 |
| ◆ Recombinant Proteins | ||
| MS4A1-09FF | Recombinant Ferret MS4A1 Protein, His-tagged, FITC conjugated | +Inquiry |
| MS4A1-7308HAF647 | Recombinant Human MS4A1 Protein, His-tagged, Alexa Fluor 647 conjugated | +Inquiry |
| Ms4a1-1136M | Recombinant Mouse Ms4a1 Protein, His-tagged | +Inquiry |
| MS4A1-6754H | Recombinant Human MS4A1 Full Length Transmembrane protein(Nanodisc), His-tagged | +Inquiry |
| MS4A1-5318H | Recombinant Human MS4A1 Protein (Glu213-Pro297), N-His tagged | +Inquiry |
| ◆ Cell & Tissue Lysates | ||
| MS4A1-819CCL | Recombinant Cynomolgus MS4A1 cell lysate | +Inquiry |
| MS4A1-1848FCL | Recombinant Ferret MS4A1 cell lysate | +Inquiry |
| MS4A1-1542HCL | Recombinant Human MS4A1 cell lysate | +Inquiry |
Not For Human Consumption!
Inquiry
- Reviews (0)
- Q&As (0)
Ask a Question for All MS4A1 Products
Required fields are marked with *
My Review for All MS4A1 Products
Required fields are marked with *
