Cytochrome P450 monooxygenase (CYP)

Cat.No. : CYP-16
  • Specification
  • Gene Information
  • Related Products
  • Download
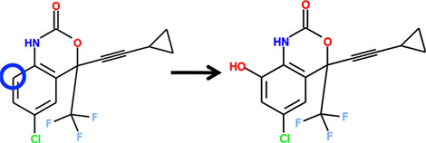
Description : CYPs: A class of redox enzymes with mercaptan-heme as the active center to catalyze oxygen transfer. They are terminal oxygenases and needs heme to activate oxygen. Cytochrome P450 monooxygenase catalyze the oxidation, epoxidation and hydroxylation of alkyl, hydroxylation and oxidation of ammonia, oxidation of sulfur, dealkylation(oxygen, sulfur, ammonia), oxidative dehydrogenation, deamination and dehalogenation.
Applications : 1. Normally, the reaction system should include substrate, buffer solution (The optimum reaction pH of enzyme), coenzyme (NAD(H) or NADP(H)), coenzyme regeneration system (e.g. glucose and glucose dehydrogenase) and the CYP. coenzyme and coenzyme regeneration system could be replaced by hydrogen peroxide in partial reaction system. 2. All kinds of CYPs corresponding to various optimum reaction conditions should be studied individually. 3. High concentration Substrate or product with may inhibit CYP's activity. However, the inhibition can be relieved by batch addition of substrate.
Notes : Never contact with extreme conditions such as: high temperature, high/low pH and high concentration organic solvent.
Storage : Keep 2 years below -20 centigrade.
Advantages : 1. Broad substrate spectrum. 2. High conversion. 3. Less by-products. 4. Mild reaction conditions. 5. Environmentally friendly.
Official Symbol CYP
Synonyms Cytochrome P450 monooxygenase; CYP

Not For Human Consumption!

Inquiry

  • Reviews (0)
  • Q&As (0)

Customer Reviews

Write a review

Ask a Question for All CYP Products

Required fields are marked with *

My Review for All CYP Products

Required fields are marked with *

0
cart-icon
0
compare icon