Recombinant Human IL18R1 protein(Ala19-Arg329), hFc-tagged
| Cat.No. : | IL18R1-165H |
| Product Overview : | Recombinant Human IL18R1 protein(Ala19-Arg329)(AAH69575.1) is expressed from HEK293 with hFc tag at the C-terminus. |
| Availability | October 26, 2025 |
| Unit | |
| Price | |
| Qty |
- Specification
- Gene Information
- Related Products
- Download
| Species : | Human |
| Source : | HEK293 |
| Tag : | Fc |
| Protein Length : | Ala19-Arg329 |
| Form : | Lyophilized from 0.22 μm filtered solution in PBS (pH 7.4). Normally 8% trehalose is added as protectant before lyophilization. |
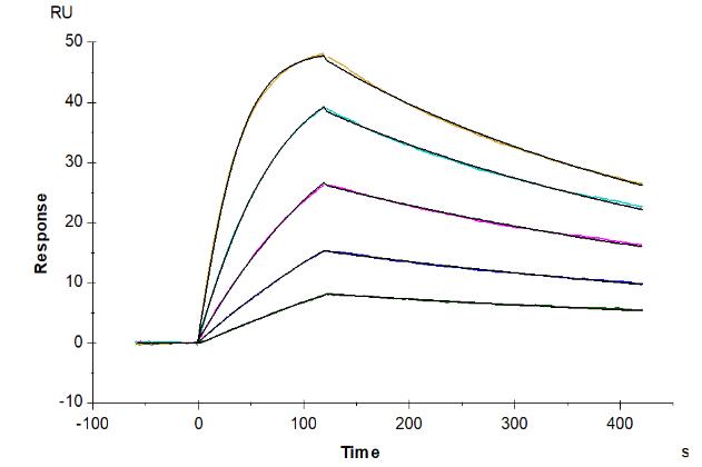
| Bio-activity : | Human IL-18 R1, hFc Tag captured on CM5 Chip via Protein A can bind Human IL-18, No Tag with an affinity constant of 0.73 nM as determined in SPR assay (Biacore T200). |
| Molecular Mass : | The protein has a predicted MW of 62.52 kDa. Due to glycosylation, the protein migrates to 75-95 kDa based on Tris-Bis PAGE result. |
| Endotoxin : | Less than 1EU per μg by the LAL method. |
| Purity : | > 95% as determined by Tris-Bis PAGE > 95% as determined by HPLC |
| Storage : | -20 to -80°C for 12 months as supplied from date of receipt. -80°C for 3-6 months after reconstitution. 2-8°C for 2-7 days after reconstitution. Recommend to aliquot the protein into smaller quantities for optimal storage. Please minimize freeze-thaw cycles. |
| Reconstitution : | Centrifuge the tube before opening. Reconstituting to a concentration more than 100 μg/ml is recommended. Dissolve the lyophilized protein in distilled water. |
| Gene Name | IL18R1 interleukin 18 receptor 1 [ Homo sapiens ] |
| Official Symbol | IL18R1 |
| Synonyms | IL18R1; interleukin 18 receptor 1; interleukin-18 receptor 1; CD218a; IL 1Rrp; IL1RRP; IL-18R1; IL1R-rp; IL-18R-1; cytokine receptor; IL1 receptor-related protein; CD218 antigen-like family member A; IL18RA; CDw218a; IL-1Rrp; |
| Gene ID | 8809 |
| mRNA Refseq | NM_003855 |
| Protein Refseq | NP_003846 |
| MIM | 604494 |
| UniProt ID | Q13478 |
| ◆ Recombinant Proteins | ||
| Il18r1-1667R | Recombinant Rat Il18r1 Protein, His&GST-tagged | +Inquiry |
| IL18R1-1466C | Recombinant Cynomolgus IL18R1 protein, His-tagged | +Inquiry |
| IL18R1-2253H | Recombinant Human IL18R1, His tagged | +Inquiry |
| IL18R1-1048C | Recombinant Canine IL18R1 Protein, His-tagged | +Inquiry |
| IL18R1-207C | Recombinant Cynomolgus IL18R1, His-tagged | +Inquiry |
| ◆ Cell & Tissue Lysates | ||
| IL18R1-837CCL | Recombinant Canine IL18R1 cell lysate | +Inquiry |
| IL18R1-2587HCL | Recombinant Human IL18R1 cell lysate | +Inquiry |
| IL18R1-001CCL | Recombinant Cynomolgus IL18R1 cell lysate | +Inquiry |
| IL18R1-829RCL | Recombinant Rat IL18R1 cell lysate | +Inquiry |
| IL18R1-2785MCL | Recombinant Mouse IL18R1 cell lysate | +Inquiry |
Not For Human Consumption!
Inquiry
- Reviews (0)
- Q&As (0)
Ask a Question for All IL18R1 Products
Required fields are marked with *
My Review for All IL18R1 Products
Required fields are marked with *
