Recombinant Rhesus macaque HLA-G protein, His-Avi-tagged
| Cat.No. : | HLA-G-506R |
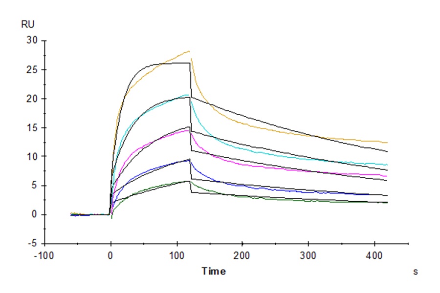
| Product Overview : | Recombinant Rhesus macaque HLA-G protein(O02948(HLA-G)&Q6V7J5(B2M)&RIIPRHLQL), fused with His tag and Avi tag at the C-terminal, was expressed in HEK293. |
- Specification
- Gene Information
- Related Products
- Download
| Species : | Rhesus macaque |
| Source : | HEK293 |
| Tag : | Avi&His |
| Protein Length : | It contains Gly25-Thr305(HLA-G),Ile21-Met119(B2M) and RIIPRHLQL peptide. |
| Form : | Supplied as 0.22μm filtered solution in PBS (pH7.4.) |
| Molecular Mass : | The protein has a predicted MW of 258 kDa. Due to glycosylation, the protein migrates to 260-265 kDa under Non reducing (N) condition based on Tris-Bis PAGE result. |
| Endotoxin : | Less than 1EU per μg by the LAL method. |
| Purity : | > 95% as determined by Tris-Bis PAGE > 95% as determined by HPLC |
| Storage : | The product should be stored at -70°C or -20°C. |
| Reconstitution : | Centrifuge tubes before opening. Reconstituting to a concentration more than 100 μg/ml is recommended. Dissolve the lyophilized protein in distilled water. |
| Gene Name | HLA-G major histocompatibility complex, class I, G [ Homo sapiens ] |
| Official Symbol | HLA-G |
| Synonyms | HLA-G; major histocompatibility complex, class I, G; HLA G histocompatibility antigen, class I, G; HLA class I histocompatibility antigen, alpha chain G; b2 microglobulin; HLA G antigen; HLA class I molecule; MHC class I antigen G; HLA-G histocompatibility antigen, class I, G; MHC-G |
| Gene ID | 3135 |
| mRNA Refseq | NM_002127 |
| Protein Refseq | NP_002118 |
| MIM | 142871 |
| UniProt ID | P17693 |
| ◆ Recombinant Proteins | ||
| HLA-G-1077H | Recombinant Human HLA-G Protein, His (Fc)-Avi-tagged | +Inquiry |
| HLA-G-503H | Recombinant Human HLA-G protein, His-Avi-tagged, Biotinylated | +Inquiry |
| HLA-G-503CB | Recombinant Cynomolgus HLA-G protein, His-Avi-tagged, Biotinylated | +Inquiry |
| HLA-G-2792HFL | Recombinant Full Length Human HLA-G protein, Flag-tagged | +Inquiry |
| HLA-G-3322H | Recombinant Human HLA-G protein, His-tagged | +Inquiry |
| ◆ Cell & Tissue Lysates | ||
| HLA-G-5493HCL | Recombinant Human HLA 293 Cell Lysate | +Inquiry |
Not For Human Consumption!
Inquiry
- Reviews (0)
- Q&As (0)
Ask a Question for All HLA-G Products
Required fields are marked with *
My Review for All HLA-G Products
Required fields are marked with *
