Active Recombinant Cynomolgus IL18BP protein, His-tagged, Biotinylated
| Cat.No. : | IL18BP-57CB |
| Product Overview : | Biotinylated Recombinant Cynomolgus IL18BP protein(A0A2K5UDJ4)(Thr28-Pro207) is expressed from HEK293 with His tag at the C-Terminus. |
- Specification
- Gene Information
- Related Products
- Download
| Species : | Cynomolgus |
| Source : | HEK293 |
| Tag : | His |
| Protein Length : | 28-207 a.a. |
| Form : | Supplied as 0.22μm filtered solution in PBS (pH 7.4). |
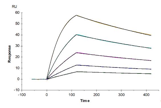
| Bio-activity : | Biotinylated Cynomolgus IL-18BP, His tag captured on CM5 Chip via anti-his antibody can bind Human IL-18, No Tag with an affinity constant of 1.67 nM as determined in SPR assay (Biacore T200). |
| Molecular Mass : | The protein has a predicted MW of 21.14 kDa. Due to glycosylation, the protein migrates to 50-65 kDa based on Tris-Bis PAGE result. |
| Proteinlength : | Thr28-Pro207 |
| Endotoxin : | Less than 1EU per μg by the LAL method. |
| Purity : | > 95% as determined by Tris-Bis PAGE > 90% as determined by HPLC |
| Storage : | Valid for 12 months from date of receipt when stored at -80°C. Recommend to aliquot the protein into smaller quantities for optimal storage. Please minimize freeze-thaw cycles. |
| Reconstitution : | It is recommended that sterile water be added to the vial to prepare a stock solution of 0.2 ug/ul. Centrifuge the vial at 4°C before opening to recover the entire contents. |
| Conjugation : | Biotin |
| Gene Name | IL18BP interleukin 18 binding protein [ Homo sapiens ] |
| Official Symbol | IL18BP |
| Synonyms | IL18BP; interleukin 18 binding protein; interleukin-18-binding protein; IL18BPa; MC51L 53L 54L homolog gene product; IL-18BP; tadekinig-alfa; MC51L-53L-54L homolog gene product |
| Gene ID | 10068 |
| mRNA Refseq | NM_001039659 |
| Protein Refseq | NP_001034748 |
| MIM | 604113 |
| UniProt ID | O95998 |
| ◆ Recombinant Proteins | ||
| IL18BP-3165H | Recombinant Human IL18BP protein, His-tagged | +Inquiry |
| Il18bp-5307M | Recombinant Mouse Il18bp protein, His-tagged | +Inquiry |
| IL18BP-2683H | Active Recombinant Human IL18BP protein, hFc&His-tagged | +Inquiry |
| IL18BP-264H | Active Recombinant Human IL18BP, Fc Chimera | +Inquiry |
| IL18BP-194H | Recombinant Human IL18BP Protein, His (Fc)-Avi-tagged | +Inquiry |
| ◆ Cell & Tissue Lysates | ||
| IL18BP-2674MCL | Recombinant Mouse IL18BP cell lysate | +Inquiry |
| IL18BP-2918HCL | Recombinant Human IL18BP cell lysate | +Inquiry |
Not For Human Consumption!
Inquiry
- Reviews (0)
- Q&As (0)
Ask a Question for All IL18BP Products
Required fields are marked with *
My Review for All IL18BP Products
Required fields are marked with *
