Recombinant Human CD209 protein, His-tagged
| Cat.No. : | CD209-643H |
| Product Overview : | Recombinant Human CD209 protein(Q9NNX6-1)(Gln59-Ala404), fused with N-terminal His tag, was expressed in HEK293. |
- Specification
- Gene Information
- Related Products
- Download
| Species : | Human |
| Source : | HEK293 |
| Tag : | His |
| Protein Length : | Gln59-Ala404 |
| Tag : | N-His |
| Form : | Lyophilized from 0.22μm filtered solution in PBS (pH 7.4). Normally 5% trehalose is added as protectant before lyophilization. |
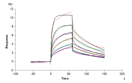
| Bio-activity : | Human BTN2A1, His Tag immobilized on CM5 Chip can bind Human CD209, His Tag with an affinity constant of 0.12 uM as determined in SPR assay (Biacore T200). |
| Molecular Mass : | The protein has a predicted MW of 40.5 kDa. Due to glycosylation, the protein migrates to 52-60 kDa based on Tris-Bis PAGE result. |
| Endotoxin : | Less than 1EU per μg by the LAL method. |
| Purity : | > 95% as determined by Tris-Bis PAGE;> 95% as determined by HPLC |
| Storage : | Reconstituted protein stable at -80°C for 12 months, 4°C for 1 week. Use a manual defrost freezer and avoid repeated freeze-thaw cycles. |
| Reconstitution : | Centrifuge tubes before opening. Reconstituting to a concentration more than 100 μg/ml is recommended. Dissolve the lyophilized protein in distilled water. |
| Gene Name | CD209 CD209 molecule [ Homo sapiens ] |
| Official Symbol | CD209 |
| Synonyms | CD209; CD209 molecule; CD209 antigen; CDSIGN; CLEC4L; DC SIGN; DC SIGN1; HIV gpl20-binding protein; C-type lectin domain family 4 member L; C-type lectin domain family 4, member L; dendritic cell-specific ICAM-3-grabbing non-integrin 1; dendritic cell-specific intracellular adhesion molecules (ICAM)-3 grabbing non-integrin; DC-SIGN; DC-SIGN1; MGC129965; |
| Gene ID | 30835 |
| mRNA Refseq | NM_001144893 |
| Protein Refseq | NP_001138365 |
| MIM | 604672 |
| UniProt ID | Q9NNX6 |
| ◆ Recombinant Proteins | ||
| CD209-728R | Recombinant Rhesus CD209 protein, Fc-tagged | +Inquiry |
| CD209-726R | Recombinant Rhesus CD209 protein (Lys62-Glu381), His-tagged | +Inquiry |
| CD209-14H | Recombinant Human CD209 Protein, His (Fc)-Avi-tagged | +Inquiry |
| RFL7980CF | Recombinant Full Length Chlorocebus Aethiops Cd209 Antigen(Cd209) Protein, His-Tagged | +Inquiry |
| CD209-643H | Recombinant Human CD209 protein, His-tagged | +Inquiry |
| ◆ Cell & Tissue Lysates | ||
| CD209-2986HCL | Recombinant Human CD209 cell lysate | +Inquiry |
Not For Human Consumption!
Inquiry
- Reviews (0)
- Q&As (0)
Ask a Question for All CD209 Products
Required fields are marked with *
My Review for All CD209 Products
Required fields are marked with *
