Recombinant Human IL18R1 protein, His-Avi-tagged, Biotinylated
| Cat.No. : | IL18R1-1862H |
| Product Overview : | Biotinylated Recombinant Human IL18R1 protein(AAH69575)(Ala19-Arg329), fused with C-terminal His and Avi tag, was expressed in HEK293. |
- Specification
- Gene Information
- Related Products
- Download
| Species : | Human |
| Source : | HEK293 |
| Tag : | Avi&His |
| Protein Length : | Ala19-Arg329 |
| Tag : | C-His-Avi |
| Conjugation/Label : | Biotin |
| Form : | Lyophilized from 0.22μm filtered solution in PBS (pH 7.4). Normally 8% trehalose is added as protectant before lyophilization. |
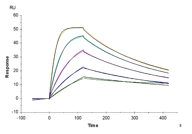
| Bio-activity : | Biotinylated Human IL-18 R1, His Tag captured on CM5 Chip via anti-his antibody can bind Human IL-18, No Tag with an affinity constant of 1.24 nM as determined in SPR assay (Biacore T200). |
| Molecular Mass : | The protein has a predicted MW of 38.8 kDa. Due to glycosylation, the protein migrates to 60-70 kDa based on Tris-Bis PAGE result. |
| Endotoxin : | Less than 1EU per μg by the LAL method. |
| Purity : | > 95% as determined by Tris-Bis PAGE; > 95% as determined by HPLC |
| Storage : | Reconstituted protein stable at -80°C for 12 months, 4°C for 1 week. Use a manual defrost freezer and avoid repeated freeze-thaw cycles. |
| Reconstitution : | Centrifuge tubes before opening. Reconstituting to a concentration more than 100 μg/ml is recommended. Dissolve the lyophilized protein in distilled water. |
| Conjugation : | Biotin |
| Gene Name | IL18R1 interleukin 18 receptor 1 [ Homo sapiens ] |
| Official Symbol | IL18R1 |
| Synonyms | IL18R1; interleukin 18 receptor 1; interleukin-18 receptor 1; CD218a; IL 1Rrp; IL1RRP; IL-18R1; IL1R-rp; IL-18R-1; cytokine receptor; IL1 receptor-related protein; CD218 antigen-like family member A; IL18RA; CDw218a; IL-1Rrp; |
| Gene ID | 8809 |
| mRNA Refseq | NM_003855 |
| Protein Refseq | NP_003846 |
| MIM | 604494 |
| UniProt ID | Q13478 |
| ◆ Recombinant Proteins | ||
| IL18R1-4437H | Recombinant Human IL18R1 Protein, His (Fc)-Avi-tagged | +Inquiry |
| IL18R1-2364M | Recombinant Mouse IL18R1 protein(Met1-Gly326), mFc-tagged | +Inquiry |
| IL18R1-163R | Recombinant Rat Il18r1, His tagged | +Inquiry |
| Il18r1-839M | Recombinant Mouse Il18r1 protein, His-tagged | +Inquiry |
| IL18R1-1978C | Recombinant Canine IL18R1 protein, hFc-tagged | +Inquiry |
| ◆ Cell & Tissue Lysates | ||
| IL18R1-2587HCL | Recombinant Human IL18R1 cell lysate | +Inquiry |
| IL18R1-829RCL | Recombinant Rat IL18R1 cell lysate | +Inquiry |
| IL18R1-001CCL | Recombinant Cynomolgus IL18R1 cell lysate | +Inquiry |
| IL18R1-2785MCL | Recombinant Mouse IL18R1 cell lysate | +Inquiry |
| IL18R1-837CCL | Recombinant Canine IL18R1 cell lysate | +Inquiry |
Not For Human Consumption!
Inquiry
- Reviews (0)
- Q&As (0)
Ask a Question for All IL18R1 Products
Required fields are marked with *
My Review for All IL18R1 Products
Required fields are marked with *
