Recombinant Human LDLR protein, His-Avi-tagged, Biotinylated
| Cat.No. : | LDLR-267H |
| Product Overview : | Biotinylated Recombinant Human LDLR protein(P01130-1)(Ala22-Arg788), fused with C-terminal His and Avi tag, was expressed in HEK293. |
| Availability | November 17, 2025 |
| Unit | |
| Price | |
| Qty |
- Specification
- Gene Information
- Related Products
- Download
| Species : | Human |
| Source : | HEK293 |
| Tag : | Avi&His |
| Protein Length : | Ala22-Arg788 |
| Tag : | C-His-Avi |
| Conjugation/Label : | Biotin |
| Form : | Lyophilized from 0.22μm filtered solution in PBS (pH 7.4). Normally 8% trehalose is added as protectant before lyophilization. |
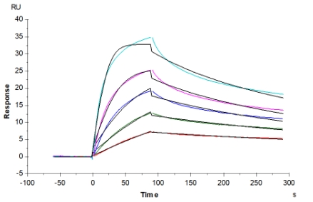
| Bio-activity : | Biotinylated Human LDLR, His Tag immobilized on CM5 Chip can bind Human PCSK9, His Tag with an affinity constant of 0.23 nM as determined in SPR assay (Biacore T200). |
| Molecular Mass : | The protein has a predicted MW of 87.6 kDa, Due to glycosylation, the protein migrates to 110-130 kDa based on Tris-Bis PAGE result. |
| Endotoxin : | Less than 1EU per μg by the LAL method. |
| Purity : | > 95% as determined by Tris-Bis PAGE; > 95% as determined by HPLC |
| Storage : | Reconstituted protein stable at -80°C for 12 months, 4°C for 1 week. Use a manual defrost freezer and avoid repeated freeze-thaw cycles. |
| Reconstitution : | Centrifuge tubes before opening. Reconstituting to a concentration more than 100 μg/ml is recommended. Dissolve the lyophilized protein in distilled water. |
| Conjugation : | Biotin |
| Gene Name | LDLR low density lipoprotein receptor [ Homo sapiens ] |
| Official Symbol | LDLR |
| Synonyms | LDLR; low density lipoprotein receptor; low-density lipoprotein receptor; familial hypercholesterolemia; LDL receptor; low-density lipoprotein receptor class A domain-containing protein 3; FH; FHC; LDLCQ2; |
| Gene ID | 3949 |
| mRNA Refseq | NM_000527 |
| Protein Refseq | NP_000518 |
| MIM | 606945 |
| UniProt ID | P01130 |
| ◆ Recombinant Proteins | ||
| LDLR-2310R | Recombinant Rhesus Macaque LDLR Protein, His (Fc)-Avi-tagged | +Inquiry |
| LDLR-29938TH | Recombinant Human LDLR | +Inquiry |
| LDLR-4432H | Recombinant Human LDLR Protein (Ala22-Arg788), C-His tagged | +Inquiry |
| LDLR-160H | Recombinant Human LDLR Protein, ALA22-ARG788, Tag Free, Biotinylated | +Inquiry |
| LDLR-4431H | Recombinant Human LDLR protein, His-Avi-tagged | +Inquiry |
| ◆ Native Proteins | ||
| LDLR-85H | Native Human Lipoprotein | +Inquiry |
| ◆ Cell & Tissue Lysates | ||
| LDLR-2780HCL | Recombinant Human LDLR cell lysate | +Inquiry |
| LDLR-2762MCL | Recombinant Mouse LDLR cell lysate | +Inquiry |
Not For Human Consumption!
Inquiry
- Reviews (0)
- Q&As (0)
Ask a Question for All LDLR Products
Required fields are marked with *
My Review for All LDLR Products
Required fields are marked with *
