Recombinant Cynomolgus IL33 protein, His-tagged

Cat.No. : IL33-0291C
Product Overview : Recombinant Cynomolgus IL33 protein( A0A2K5W3I1-1)(His109-Ile270), fused with N-terminal His tag, was expressed in HEK293.
  • Specification
  • Gene Information
  • Related Products
  • Download
Species : Cynomolgus
Source : HEK293
Tag : His
Protein Length : His109-Ile270
Tag : N-His
Form : Supplied as 0.22μm filtered solution in PBS (pH 7.4).
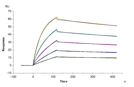
Bio-activity : Human IL-1RL1, His Tag immobilized on CM5 Chip can bind Cynomolgus IL-33, His Tag with an affinity constant of 46.85 nM as determined in SPR assay (Biacore T200).
Molecular Mass : The protein has a predicted MW of 19.2 kDa. Due to glycosylation, the protein migrates to 25-30 kDa based on Tris-Bis PAGE result.
Endotoxin : Less than 1EU per μg by the LAL method.
Purity : > 95% as determined by Tris-Bis PAGE
Storage : Valid for 12 months from date of receipt when stored at -80°C. Recommend to aliquot the protein into smaller quantities for optimal storage. Please do not repeated freeze-thaw cycles.
Reconstitution : It is recommended that sterile water be added to the vial to prepare a stock solution of 0.2 ug/ul. Centrifuge the vial at 4°C before opening to recover the entire contents.

Not For Human Consumption!

Inquiry

  • Reviews (0)
  • Q&As (0)

Customer Reviews

Write a review

Ask a Question for All IL33 Products

Required fields are marked with *

My Review for All IL33 Products

Required fields are marked with *

0
cart-icon
0
compare icon